我的账户
亲爱的游客

欢迎您的光临

已有账号,请

如尚未注册?

第三方账号快捷登陆

  • 客服
    点击联系客服

    在线时间:8:00-16:00

    客服电话

    020-82515729

    电子邮件

    yushizqh@126.com
  • APP

    下载APP

    随时随地掌握行业动态

  • 微信

    扫描二维码

    关注官方微信公众号

章丘于家庄清代进士于振宗故宅

2
回复
2707
查看
[复制链接]
发表于 2014-2-16 17:03:51 | 显示全部楼层 |阅读模式
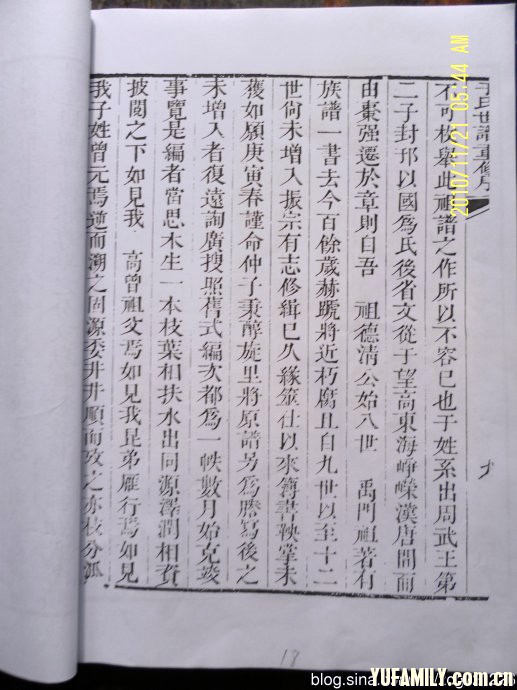
          于氏世谱载:于振宗,字麟公,康熙丁卯科副贡,癸酉科举人,甲戌科(康熙卅三年)进士.授北直正定县知县,升户部四川清吏司主事,钦差监督仓场.          三百年以往,于进士故宅尚存,乡人呼之--大官宅.老辈传说,此宅修造时较仓促,为赶工期,冬季施工,防冻,用酒和泥.大门上原有雍正御赐大匾,"西台虚左",毁于文革.
: r4 u# T; U6 w8 C+ s2 R
1.jpg
5 b: {0 a& y, b2 d0 R( p
2.jpg
, b5 ^2 g8 @1 o6 ~% O7 E
3.jpg

7 e* j  U7 J; ]$ T6 D
4.jpg

: z+ J& I2 Y+ @7 ]# l5 D
5.jpg

- `. _3 ^8 Y+ {
6.jpg
# x; F& a4 Y1 }& }' E+ l
7.jpg
5 \; O+ K" h) _* @. k
8.jpg
3 c2 W, z4 E$ p$ t
9.jpg
: `2 E6 \3 ~( b* u; f5 `1 |2 [
10.jpg
% Q8 A8 I1 A4 Q2 W2 R0 a% ~
11.jpg
/ y* K- O9 e9 x) f2 Z$ o6 m
12.jpg

6 k0 L8 t& ?9 b  s: G( I% x% A
13.jpg
3 o! j8 i' E& o, j7 n, `& I
14.jpg
% \5 V8 |9 H+ g; Q3 Z% u5 @6 n; _( I
 楼主| 发表于 2014-2-16 17:04:59 | 显示全部楼层
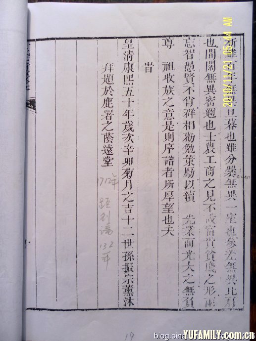
家谱中尚存于振宗序言一篇,落款:皇清康熙五十年岁次辛卯菊月之吉十二世孙振宗薰沐拜题于鹿署之荫远堂.8 @: e% [# G' x
; V6 O+ u4 n3 Q( }! l, f& C2 C
15.jpg
8 u: h6 z8 a8 t' S$ D, R2 V
16.jpg
! I7 K7 c" W8 E- s6 S- g7 D) j
17.jpg
发表于 2014-2-17 18:32:25 | 显示全部楼层
"蔭遠堂".....有堂號!
% m: X9 l$ [8 {5 J3 n; y; d
8 L8 ~- _$ s% E9 Z
您需要登录后才可以回帖 登录 | 注册

本版积分规则

寻根问祖热线

13105230123

服务时间:工作日9:30-21:00
广州市黄埔区科珠路232号1栋401-2
邮箱:yushizqh@126.com
  • 官方微信→

  • 手机触屏版→

Powered by Discuz! X3.4© 2001-2013 Comsenz Inc.模板制作:Neoconex星点互联

技术支持 皇松信息科技股份有限公司 ( 粤ICP备20068981号 )