我的账户
亲爱的游客

欢迎您的光临

已有账号,请

如尚未注册?

第三方账号快捷登陆

  • 客服
    点击联系客服

    在线时间:8:00-16:00

    客服电话

    020-82515729

    电子邮件

    yushizqh@126.com
  • APP

    下载APP

    随时随地掌握行业动态

  • 微信

    扫描二维码

    关注官方微信公众号

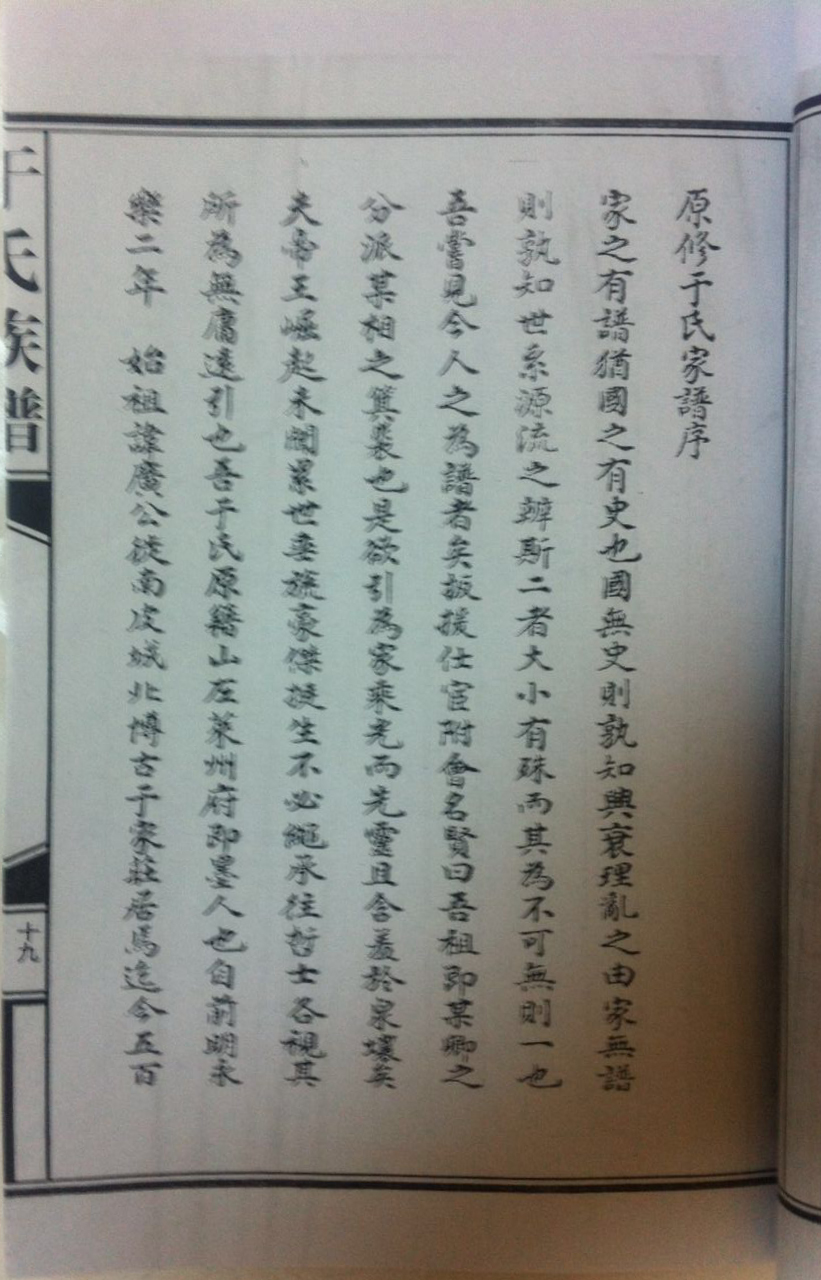
河北沧州南皮县博古于庄于氏族谱颁谱仪式

8
回复
4673
查看
[复制链接]
发表于 2015-12-11 21:59:42 | 显示全部楼层 |阅读模式
2015年12月10日。河北沧州南皮县博古于庄于氏族谱举行了颁谱仪式。
585010805063194262.jpg


634485516128425688.jpg


487460830601721862.jpg


213208105102618944.jpg


发表于 2015-12-11 22:02:00 来自手机 | 显示全部楼层
于氏家族的大喜事!
1.jpg


2.jpg


3.jpg


4.jpg


5.jpg


6.jpg

发表于 2015-12-11 22:08:23 来自手机 | 显示全部楼层
看起来族谱很有感觉
发表于 2015-12-12 19:41:17 | 显示全部楼层
好事,喜事
发表于 2015-12-13 06:39:31 来自手机 | 显示全部楼层
传承家族美德,就是以家谱为依托啊
发表于 2015-12-13 06:58:13 来自手机 | 显示全部楼层
在家族文化中族谱就是支柱,希望工程就是每个家族成员都重视族谱的续编,并遵守族规发扬本族的优良美德
发表于 2015-12-14 12:01:01 来自手机 | 显示全部楼层
恭喜,贺喜!
发表于 2016-1-2 14:13:14 | 显示全部楼层
各位宗亲有知道三门2支八世自新后人吗、十四氏金堂十五世京龙京河;后人七岁叫于石头被家人救走【交河北桃园救走】
发表于 2016-12-29 20:46:29 | 显示全部楼层
简朴而庄重
您需要登录后才可以回帖 登录 | 注册

本版积分规则

寻根问祖热线

13105230123

服务时间:工作日9:30-21:00
广州市黄埔区科珠路232号1栋401-2
邮箱:yushizqh@126.com
  • 官方微信→

  • 手机触屏版→

Powered by Discuz! X3.4© 2001-2013 Comsenz Inc.模板制作:Neoconex星点互联

技术支持 皇松信息科技股份有限公司 ( 粤ICP备20068981号 )