我的账户
亲爱的游客

欢迎您的光临

已有账号,请

如尚未注册?

第三方账号快捷登陆

  • 客服
    点击联系客服

    在线时间:8:00-16:00

    客服电话

    020-82515729

    电子邮件

    yushizqh@126.com
  • APP

    下载APP

    随时随地掌握行业动态

  • 微信

    扫描二维码

    关注官方微信公众号

辽宁岫岩于姓家谱调查

12
回复
5686
查看
[复制链接]
发表于 2014-6-12 21:24:58 | 显示全部楼层 |阅读模式
鞍山岫岩县岭沟村一组前堡于宝春,从岫岩哨子河四道虎岭迁来,字辈为宝--后续十辈为述----继,新--
岫岩岭沟一组前堡于宝春家,始祖于龙铍盖氏宋氏,于东鱼刘氏鞠氏,于洪柳氏于文李氏于顺王氏于珍乐氏,于文广于文盛于文林于文发于文彩于文有于文兴于文亮于文德于文太
$ x8 V1 \4 W3 h8 l
1.jpg

9 D) v% c  X  d" C- I7 V
2.jpg

) X) q! S7 a7 ^
3.jpg
- F3 b& j  p# E2 X: d$ a' P' [
4.jpg
 楼主| 发表于 2014-6-12 21:27:18 | 显示全部楼层
本帖最后由 于宝祥 于 2014-6-23 21:28 编辑 # Y9 {0 N' g' R+ g1 M
9 f4 r- v9 s! P
岫岩哨子河乡虎岭村,于学荣,电话18804121714
迁自岫岩大营子镇
一世于升邓氏    于兴张氏    于官吕氏    于富李氏
二世于成贵汪氏     于成德 王氏    于成贤邵氏
三世于广茂赵氏    于广合刘氏     于广友 于克忠李氏    于克剑王氏      于克海   于克明邓氏   于克斌   于克宽吕氏   
四世于守贵王氏    于守友(庆)赵氏       于守()吕氏李氏
五世于()海 马氏   于贵海刘氏     于文海王氏
六世于德福 于德友宋氏   于徳财  于德胜  于德仁   于德义
8 ?: h" A5 F4 V
 楼主| 发表于 2014-6-12 21:28:25 | 显示全部楼层
牧牛乡于学民家资料
$ k" v8 G. |( O/ ^
一代于尊胜
, h7 }# ]' S( {% |) w! _二代于世保
( s4 w! ~0 E( Q0 t8 N* O三代于跃光
) Q5 e) C# k6 E# f5 E四代是于广信
: ?: i/ F0 g3 k( @* M五代单字5 }& i  m$ s6 }5 b0 M
六代廷# h4 H* w+ H8 i% W. r1 Q1 k5 z
七万7 z3 D0 I( o2 J! {1 Q, C0 X& o
八中$ T: {6 R9 L, j* ?2 @
九纯8 s& I5 b7 A/ {! ^" a8 u* a+ T/ n
十太3 M7 H& J) g( C; Y
十一学
5 ^; W5 x. C0 i1 s3 l十二恒" ?7 m5 Z  ^3 M

0 C  d7 Q9 v- }! T6 {) J+ ~5 j. q

( Q/ ~6 D: y4 i, D4 ]) ]+ |8 O3 u& P( Z% K% r- |1 M& {' ]4 ^- I
4 }0 J: H. @) D
辽-C--于学民<sadfrrf@qq.com>  17:22:075 Q/ D6 M/ T! W0 x* P
山东省—登州府—宁海县—司马庄—大水泊(老祖坟叫:四颗杨树)$ i1 b3 Y8 u+ N# J
现在叫:山东省-烟台市-牟平区-乳山司马庄-大水泊镇2 @- ~+ R$ }/ a4 ]% M
我是辽宁省鞍山市岫岩县牧牛乡,南马村人,这里一个村民组都是姓于的。听爷爷说我们主辈是山东迁过来的,我看过家谱,当时的地址是:山东省-登州府-宁海县-司马庄--大水泊于,那里的主坟地址叫: 四颗杨树 。不知道现在的地名叫什么。 当时那里是兄弟4人,(1,于祖胜,2,于尊胜,3,于学胜,4,于弟胜。)老二(于尊胜)有四个儿子,闯关东时乘船迁入东北,(1于世仁,2于世保,3于世明,4于世志)在大连下船时,老四于世志走失,日后便没有了音信。我们是老二(于世保)的后人,当时他会木匠手艺,便选择了有深林的山区落脚生活,靠做木棒锤(早年锤被用的)为生,于世保就一个儿子,叫于耀光,他的后代叫-于广信-于斌-于廷恩-于万胡-我太爷叫-于中怀-我爷爷范纯字,以下便是:太-学-恒-庆-文-国-宝-运-昌。我是学字辈,再以后的辈份就不知道了。很想找到我们的于氏根源所在,希望姓于的一家子加我以便寻根访祖。5 F& S4 L; e) C, m/ h5 \+ U- H
 楼主| 发表于 2014-6-12 21:32:25 | 显示全部楼层
本帖最后由 于宝祥 于 2014-6-13 21:48 编辑 ! H" \/ c* B/ b3 _) A9 k
3 y% l, l9 K( A% y, x
岫岩洋河镇付家卜马家沟组迁自庄河市高岭镇,始迁祖于吉乐(继字辈)孙氏,司马庄于氏

5 S. B" b* e7 W9 g3 L1 x
岫岩岭沟村一组前埔于开春家,迁自马家沟,儿子于福全13998082595,始祖于金杜氏,一子于茂许(嗣字辈)张氏,生三子于继海于继河于继水姜氏水长子于维胜维字辈)邢氏

1

1

2

2

3

3

4

4
 楼主| 发表于 2014-6-12 21:34:20 | 显示全部楼层
本帖最后由 于宝祥 于 2014-6-12 22:18 编辑
' l" T5 _" T" v- k  n. b! W+ t; b, p+ ?. J2 w
岫岩县龙潭乡蜜蜂大队于家堡组 于延波老人没有电话
祖籍莱州府即墨县城南于家坦三坦社人士(于家大坦)
字辈万忠士守成延学仁
家谱没有来得及拍照,其先人具体名讳不详。老人领我去墓地看了最早的老坟,墓碑上刻着,祖籍是莱州府即墨县城南于家疃。村子原本叫于家堡,没有一户外姓,现在多了好多杂姓,曾经84口居住子在一个大院里。人丁兴旺,陆续搬迁出去了。
 楼主| 发表于 2014-6-12 21:35:10 | 显示全部楼层
本帖最后由 于宝祥 于 2014-6-13 21:57 编辑
% n) |1 P/ G. G2 q5 A4 ?: O3 z: n
: @6 ]7 ~  D% s. U2 L  @岫岩龙潭乡大房子村于家堡,于远成家资料字辈克X忠德广元传世永昌7 w: _1 M! `, f* A( |5 o/ H
祖籍登州府莱阳县一社二甲,始祖于克祥,此支迁自岫岩鸭河甸子村(河北村)头道沟组,他们祖籍说是大水泊的。. d8 T, T3 u% y  b6 K

1

1

2

2

3

3
 楼主| 发表于 2014-6-12 21:37:08 | 显示全部楼层
本帖最后由 于宝祥 于 2014-6-12 22:04 编辑 ) R) c0 v7 ^) W3 i+ l: M4 b2 [
- J( ~3 i8 A- i6 B7 W
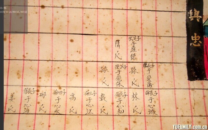
新甸教场沟于成贤家资料
8 d* w) V# b! h& R6 R

1

1

2

2

3

3

4

4

5

5

6

6

7

7

8

8

9

9
, q4 F4 N. S; D4 r% O- {, i$ e

4 l" M8 J6 Z" C3 o2 W
 楼主| 发表于 2014-6-12 21:39:03 | 显示全部楼层
照片在家电脑,随后有时间补齐。
发表于 2014-8-23 10:26:09 | 显示全部楼层
宝祥宗亲,辛苦了!!!{:soso_e179:}
发表于 2014-8-23 13:19:00 | 显示全部楼层
宝祥宗亲,辛苦了!!!
发表于 2014-8-23 16:41:02 | 显示全部楼层
宝祥接着继续盖楼啊,我会给你此贴子置顶加精华{:soso_e113:}
发表于 2019-8-1 17:07:23 | 显示全部楼层
我听父亲说,我们祖上是辽宁岫岩的,寻找家族人。
+ {5 J) I2 V% ^" ^, Z5 S* t4 h5 J名字世代取用字为:万河治凤长,喜庆阳明广,连嘉兴林振,貌永新先忠 0 g" a' F- ?* O! a& b: p$ N
我这辈为喜字。
* ]2 R/ ]) b4 f+ T+ e! N
您需要登录后才可以回帖 登录 | 注册

本版积分规则

寻根问祖热线

13105230123

服务时间:工作日9:30-21:00
广州市黄埔区科珠路232号1栋401-2
邮箱:yushizqh@126.com
  • 官方微信→

  • 手机触屏版→

Powered by Discuz! X3.4© 2001-2013 Comsenz Inc.模板制作:Neoconex星点互联

技术支持 皇松信息科技股份有限公司 ( 粤ICP备20068981号 )